Ответы
Ответ дал:
0
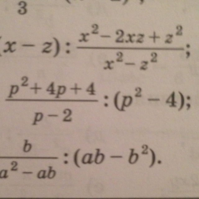
Выделить полный квадрат в дроби (числитель):
(p+2)^2
Дальше (p^2-4) представить в виде (p+2)(p-2) и сокращать
(p+2)^2
Дальше (p^2-4) представить в виде (p+2)(p-2) и сокращать
Ответ дал:
0
Если понадобится полное решение - обращайтесь
Ответ дал:
0
спс
Вас заинтересует
3 года назад
3 года назад
8 лет назад
11 лет назад
11 лет назад
11 лет назад
11 лет назад