• Предмет: Алгебра
  • Автор: Аноним
  • Вопрос задан 10 лет назад

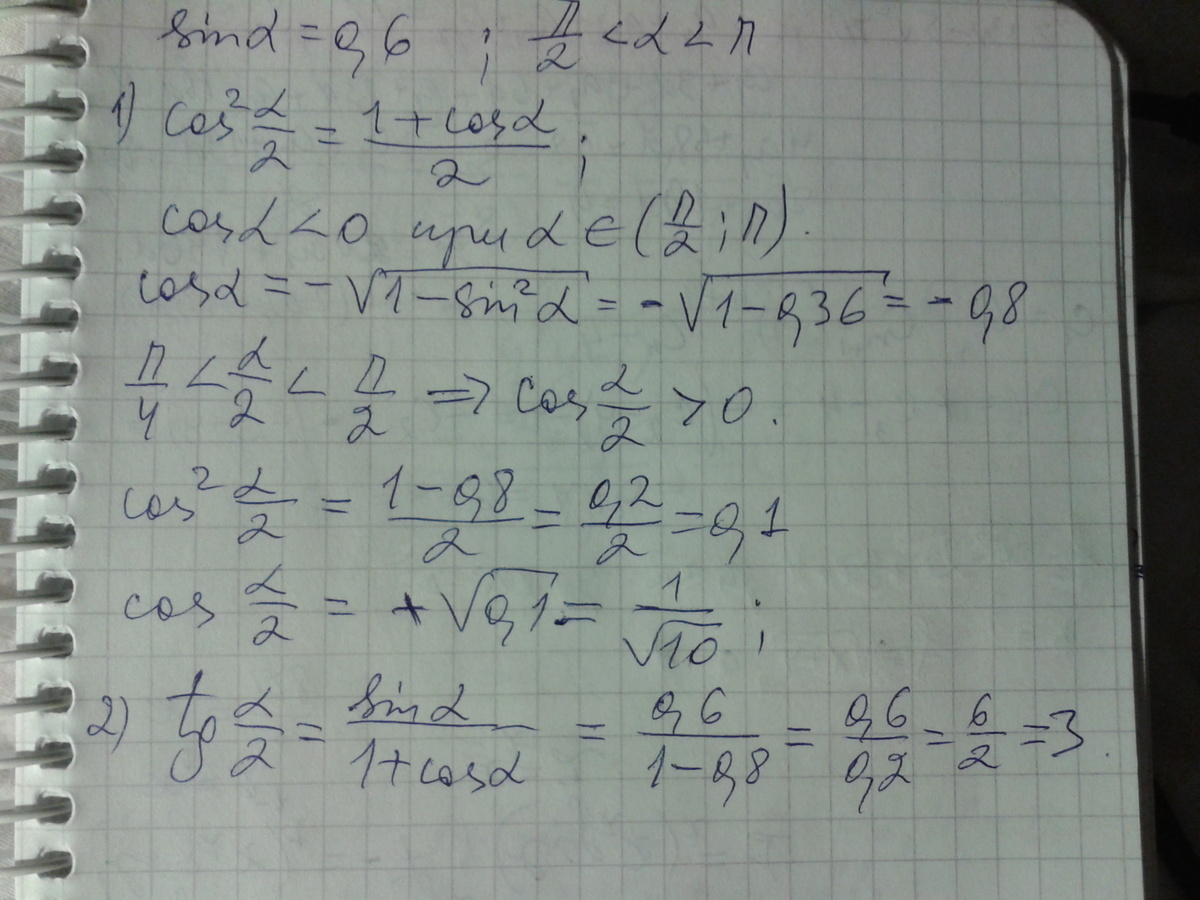
пусть sinα=0.6 и pi/2<α<pi
вычислить 
1)cos α/2
2)tg α/2

Ответы

Ответ дал: NNNLLL54
0
Смотри решение во вложении
Приложения:
Вас заинтересует