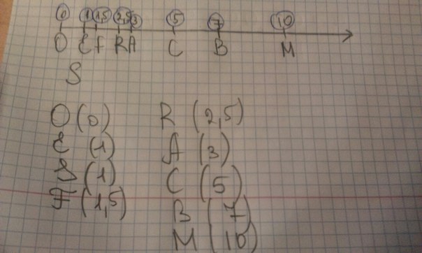
Накресліть координатний (числовий)промінь, узявши за одиничний відрізок 1 см. Позначте на цьому промені точки А(3), М(10), S(1), C(5), F(1,5), R(2,5), B(7).
Ответы
Ответ дал:
0
(укр.яз.) От офорления та рiшення
(рус.яз.) Вот оформление и решение
(рус.яз.) Вот оформление и решение
Приложения:

Вас заинтересует
2 года назад
2 года назад
8 лет назад
8 лет назад
10 лет назад