• Предмет: Математика
  • Автор: mashac1
  • Вопрос задан 10 лет назад

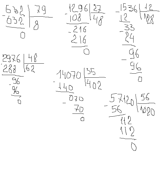
Деление столбиком помогите приз!: 632/79 1296/27 1536/12    29760/48    14070/35    57120/56

Ответы

Ответ дал: CVita
0
решение смотри во вложении
 в первом вложении маленькая ошибка 29760:48=620
смотри второе вложение
Приложения:
Ответ дал: CVita
0
владей!
Ответ дал: CVita
0
не зачато, говоришь? юмористка! ценю!!
Вас заинтересует