Ответы
Ответ дал:
0
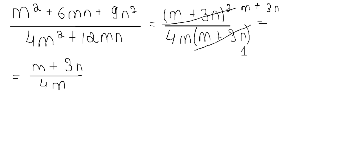
m² + 6mn + 9n² (m+3n)² m+3n
____________ = ________ = _______
4m² + 12mn 4m(m + 3n) 4m
____________ = ________ = _______
4m² + 12mn 4m(m + 3n) 4m
Ответ дал:
0
Решение во вложении.
Приложения:

Вас заинтересует
2 года назад
2 года назад
8 лет назад
8 лет назад
10 лет назад
10 лет назад
10 лет назад