Ответы
Ответ дал:
0
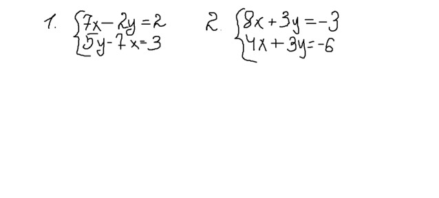
1.
(я сложила 2 уравнения)
5y-2y=5
3y=5

Подставляешь теперь полученный игрек в любое уравнение:
7x-2y=2






Ответ:
Наверно где-то просчиталась, но как-то так...
5y-2y=5
3y=5
Подставляешь теперь полученный игрек в любое уравнение:
7x-2y=2
Ответ:
Наверно где-то просчиталась, но как-то так...
Вас заинтересует
3 года назад
3 года назад
8 лет назад
11 лет назад
11 лет назад