• Предмет: Алгебра
  • Автор: hripunovvlad
  • Вопрос задан 10 лет назад

Помогите решить -------------------------------------------

Приложения:

Ответы

Ответ дал: Pyracanda
0
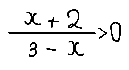
 frac{x+2}{3-x} =0
1) x+2=0
x=-2
2)3-x=0
x=3

Берешь промежутки с плюсом
Ответ: (-2;3)
Приложения:
Вас заинтересует