Маша отдала треть своих открыток брату, а половину оставшихся открыток - сестре. После этого у маши осталось 9 открыток. Сколько всего открыток было у маши?
Ответы
Ответ дал:
0
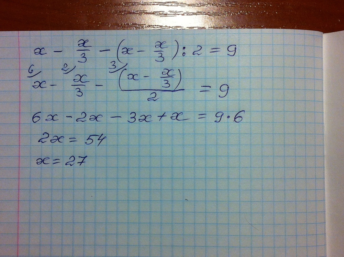
Пусть х - было всего открыток у Маши,
тогда х/3 - отдала брату,
(х-х/3):2 - отдала сестре.
Получаем уравнение (см. во вложении)
Ответ: 27 открыток.
тогда х/3 - отдала брату,
(х-х/3):2 - отдала сестре.
Получаем уравнение (см. во вложении)
Ответ: 27 открыток.
Приложения:
Вас заинтересует
3 года назад
8 лет назад
11 лет назад
11 лет назад