• Предмет: Математика
  • Автор: VoronFX
  • Вопрос задан 11 лет назад

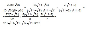
Вычислить, интересует ход решения, результат знаю:
frac{22}{5-sqrt3} + frac{8}{sqrt11+sqrt3} - frac{7}{sqrt11+2}

Ответы

Ответ дал: okneret
0

использована формула разности квадратов: знаменатель каждой дроби домножен на сопряженное ввыражение и получилась разность квадратов, потом дроби сокращены 

Приложения:
Вас заинтересует