Ответы
Ответ дал:
0
это четвертое и третье)
Приложения:
Ответ дал:
0
1)7/11=0,636
5/18=0,277
2) А)60930 Б)8,9 В)68
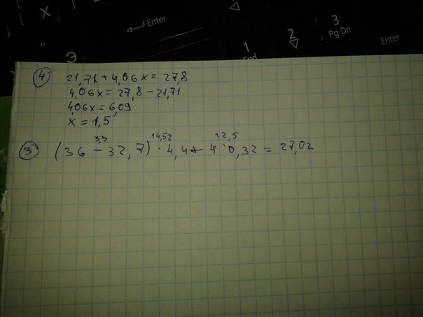
3) 1)36-32,7=3,3 2)3,3*4,4=14,52 3)4/0,32=12,5 4)14,52+12,5=27,02
4) 4,06x=6.09 X=1,5
задание 5
1)21,6*0,15=3,24(км)
2)6,3-3,24=3,6(км)
3)3,06/0,015=20,4(км/ч)
задание 6
увеличится в 8 раз
например 5/0,125=40
2) А)60930 Б)8,9 В)68
3) 1)36-32,7=3,3 2)3,3*4,4=14,52 3)4/0,32=12,5 4)14,52+12,5=27,02
4) 4,06x=6.09 X=1,5
задание 5
1)21,6*0,15=3,24(км)
2)6,3-3,24=3,6(км)
3)3,06/0,015=20,4(км/ч)
задание 6
увеличится в 8 раз
например 5/0,125=40
Приложения:
Вас заинтересует
8 лет назад
8 лет назад
11 лет назад
11 лет назад