• Предмет: Алгебра
  • Автор: fhfjhdjgdjgywtudgn
  • Вопрос задан 10 лет назад

Решите по-быстрей пожалуйста
заранее спасибо

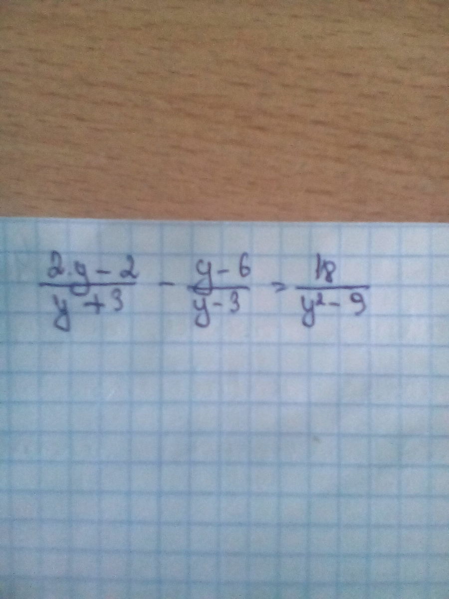
Приложения:

Ответы

Ответ дал: русская25
0
 frac{2y-2}{y+3}-  frac{y-6}{y-3} = frac{18}{y^2-9}
(2y-2)(y-3) - (y-6)(y+3)= 18
2y²-6y-2y+6-(y²+3y-6y-18)-18=0
2y²-6y-2y+6-y²-3y+6y+18-18=0
y²-5y+6=0
D= 25-24=1
y₁= 5+1/2= 3 ( не корень,т.к у≠3 и у≠-3)
у₂= 5-1/2= 2.
Ответ: 2

Вас заинтересует