• Предмет: Математика
  • Автор: abll
  • Вопрос задан 11 лет назад

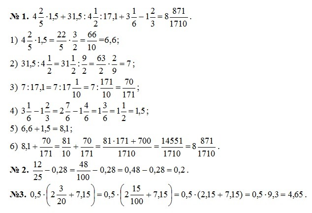
Выполните действия:

4 2/5 *1,5 + 31,5 : 4 1/217,1+3 1/6 - 1 2/3

     12/25 - 0,28                0,5*(2 3/20 +7 ,15)

Ответы

Ответ дал: SergFlint
0
Решение в приложении.
Приложения:
Вас заинтересует