• Предмет: Математика
  • Автор: OLOLOLOSH
  • Вопрос задан 11 лет назад

Решить пожалуйста спасите невинного человека

Приложения:

Ответы

Ответ дал: tamaraztv
0

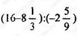
(161-253):(-239)=(483-253):(-239)=233*(-923)=-20769=-3

 

1) все дроби превращаем в неправильные.

2)вычисляем в первой скобке.

3) Что бы разделить на неправильную дробь, нужно умножить на перевернутую дробь.

4) делим и получаем ответ-3. 

Ответ дал: Юленька96
0

(16-8,13):(-2,5/9)=8,23:239=323*932=3

 

1. вычисляем первую скобку. из целой части вычитаем целую часть, и потом дробную в итоге в первой скобке получается 7,23

2. дальше выполняем деление.превращаем число в неправильную дробь, это 233 , дальше 2 скобку это 239, после этого при делении дробей вторая дробь переворачивается и получается такое выражение 233*(-923) , 23 и 23 сокращаются, и 9 и 3 тоже и в итоге получается - 3,

 

п.с. - знак деления или палочка между дробями.

Вас заинтересует