• Предмет: Алгебра
  • Автор: NastyaAntipova
  • Вопрос задан 10 лет назад

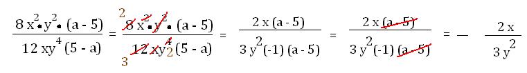
Помогите сократить дробь
8х^2*у^2*(а-5)
___________
12ху^4*(5-а)

Ответы

Ответ дал: KokhanSergey
0
Ниже фото, где выполняется решение уравнения.
Приложения:
Ответ дал: NastyaAntipova
0
Что-то я не поняла, как вы решили:(
Ответ дал: KokhanSergey
0
минуту.
Ответ дал: NastyaAntipova
0
Спасибо.)
Вас заинтересует