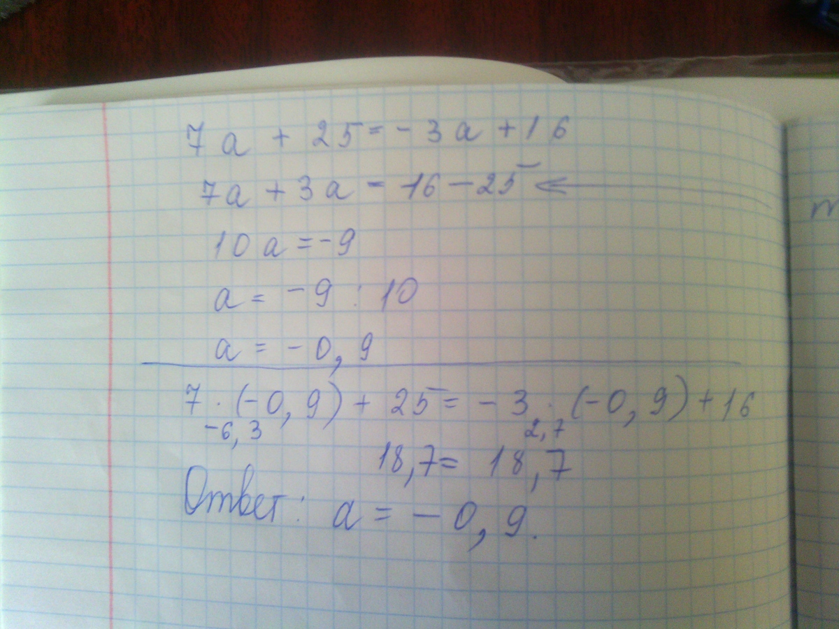
Объясните как получено второе уравнение из первого
7а+25=-3а+16,
7а+3а=16-25
Закончите решение каждого уравнения и проверь верно ли найден корень
Ответы
Ответ дал:
0
Вот!!!если не понятно пиши.
Приложения:



Вас заинтересует
2 года назад
8 лет назад
8 лет назад
10 лет назад
10 лет назад