• Предмет: Математика
  • Автор: anonymousDa
  • Вопрос задан 10 лет назад

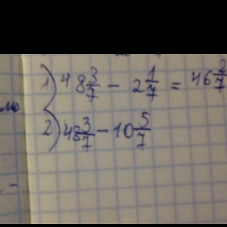
Решите пример! Умоляю!!!! ХОТЬ КТО НИБУДЬ! ЕСТЬ ЖЕ НА ШЗ НОРМАЛЬНЫЕ ЛЮДИ?! ПРОШУ!!! 15баллов за ответ!

Приложения:

Ответы

Ответ дал: Rada27
0
48 3/7- 10 5/7= 47 10/7- 10 5/7 = 37 5/7
Ответ дал: Софийка21
0
48 3/7-10 5/7= 47 10/7- 10 5/7 = 37 5/7
Вас заинтересует