Ответы
Ответ дал:
0
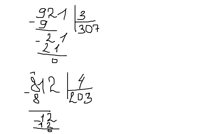
921/3=307
9
021
21
0
812/4=203
8
012
12
0
9
021
21
0
812/4=203
8
012
12
0
Ответ дал:
0
смотри в файле
...........
...........
Приложения:

Вас заинтересует
2 года назад
2 года назад
8 лет назад
8 лет назад
10 лет назад
10 лет назад