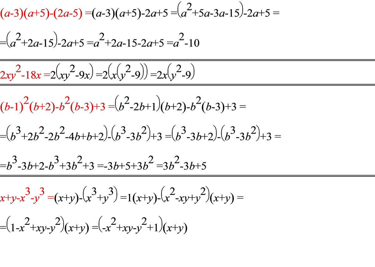
Упростите выражение. (а-3)*(а+5)-(2а-5) Разложите на множители многочлен 2хy^2-18x Представте в виде многочлена выражение. (b-1)^2*(b+2)-b^2*(b-3)+3 Разложите на множители многочлен x+y-x^3-y^3
Ответы
Ответ дал:
0
(a-3)*(a+5)-(2*a-5)=a^2-10
2*x*y^2-18*x=2*x*(y-3)*(y+3)
(b-1)^2*(b+2)-b^2*(b-3)+3=3*b^2-3*b+5
x+y-x^3-y^3=-(y+x)*(y^2-x*y+x^2-1)
Ответ дал:
0
------------------------------------------------------------------------
Приложения:

Вас заинтересует
2 года назад
8 лет назад
8 лет назад
10 лет назад
10 лет назад
10 лет назад
10 лет назад