• Предмет: Алгебра
  • Автор: СЕрЖ5
  • Вопрос задан 10 лет назад

 По подробней если можно и с сокращениями))))      №1 Найдите значение алгебраической дроби,предварительно сократив её:
                           а)с^2+4c/12+3c Если с=24,то..               б)x^2-9/3x^2+x^3 Если х=3
№2 Найдите значение алгебраической дроби,предварительно сократив её:
                           а)y^2-14y+49/y-7 если y=-4,то ...  б)t^2-100/t^2+20t+100 если t=-8,то
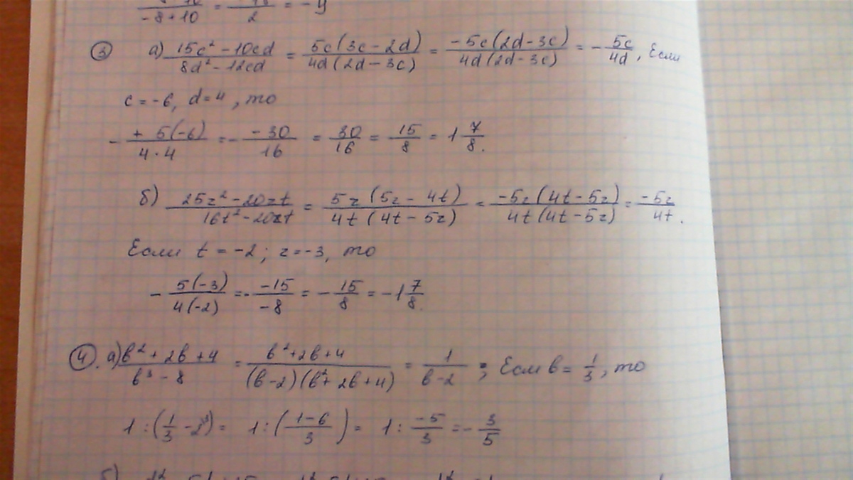
№3 Найдите значение алгебраической дроби,предварительно сократив её:
                           а)15с^2-10cd/8d^2-12cd если с=-6 d=4  б)25z^2-20zt/16t^2-20xt если z=-3 t=-2
№4 Найдите значение выражение
                                       а)b^2+2b+4/b^3-8 если b=1/3
                                       б)d^2-5d+25/2d^3+230 если d=-4,5

Ответы

Ответ дал: Мilkа
0
Лови решение^^
Всё на фото.
Приложения:
Ответ дал: СЕрЖ5
0
Спасибо большое))))
Вас заинтересует