• Предмет: Физика
  • Автор: President777
  • Вопрос задан 10 лет назад

Очень нужно!!!
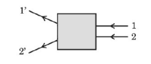
После прохождения оптического прибора, закрытого на рисунке ширмой, ход лучей 1 и 2 изменился на 1’ и 2’. За ширмой находится:
А) плоское зеркало
Б) плоскопараллельная стеклянная пластина
В) рассеивающая линза
Г) собирающая линза

Приложения:

Ответы

Ответ дал: svetasveta200
0
В) рассеивающая линза
Вас заинтересует