• Предмет: Алгебра
  • Автор: Танюшиничка21
  • Вопрос задан 10 лет назад

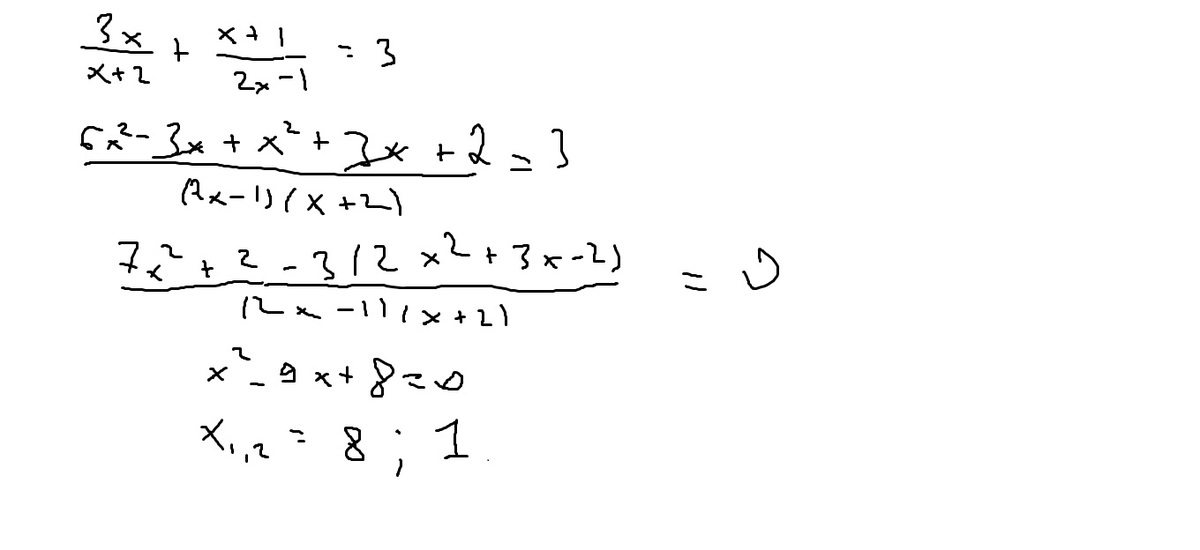
решите уравнение (3x)/x+2 + (x+1)/2x-1=3

Ответы

Ответ дал: aleantchest
0
...........................
Приложения:
Ответ дал: Танюшиничка21
0
а вот это?
3x^2-6x/x^2-2x+2 + x^2-2x+1/2x^2-4x-1=3
Вас заинтересует