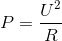
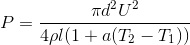
Определить мощность шести вольтовой лампочки Лодыгина, в которой использован угольный стержень в качестве нагревательного элемента, если он имеет длину 6 см, диаметр 2 мм. Удельное сопротивление угля 7×10^(5) Ом×м, температурный коэффициент сопротивления 2×10^(-4) град^(-1). Температура накала стержня 1600 градусов.
Ответы
Ответ дал:
0
В последнюю формулу подставляем исходные данные. Т1=20 градусов - для такой температуры указывается удельное сопротивление.
Приложения:




Вас заинтересует
2 года назад
8 лет назад
10 лет назад
10 лет назад
10 лет назад