• Предмет: Математика
  • Автор: valermish
  • Вопрос задан 10 лет назад

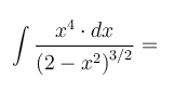
Помогите решить, пожалуйста

Приложения:

Ответы

Ответ дал: m672
0
Смотри рисунок, вычислял программой, но ответ должен быть верным.
Приложения:
Ответ дал: m672
0
http://cs606921.vk.me/v606921125/79f3/pxBRCaeHfzA.jpg
Вас заинтересует