• Предмет: Алгебра
  • Автор: babylady500
  • Вопрос задан 10 лет назад

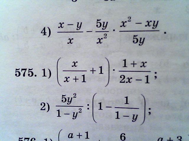
упростите номер 575 (2)

Приложения:

Ответы

Ответ дал: inblu
0
 frac{5y^{2}}{(1-y)(1+y)}: frac{1-y-1}{1-y}=frac{5y^{2}}{(1-y)(1+y)}* frac{1-y}{-y}= -frac{5y}{1+y}
Ответ дал: Lana725875
0
5у^/1-у^/1-1/(1-у)=-5/1+у
1. (1-у-1)/(1-у)=-у/1-у
2. 5у^/(1-у)(1+у):-у/1-у=5у^(1-у):-у(1-у)(1+у)=-5/1+у
Вас заинтересует