• Предмет: Алгебра
  • Автор: lina4ka35
  • Вопрос задан 11 лет назад

128^2-78^2 вычеслите наиболие рациональным способом

Ответы

Ответ дал: Victotia
0

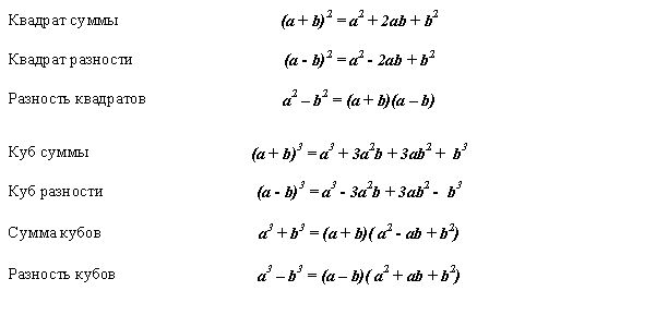
128^2-78^2 = (128-78)*(128+78)=50*206=10300
Куда ещё рациональнее )

Ответ дал: 1Sanёk1
0

это формула "Разность квадратов":

128^2-78^2=(128-78)(128+78)=50*206=10300

Приложения:
Вас заинтересует