• Предмет: Алгебра
  • Автор: ходячеечудо
  • Вопрос задан 10 лет назад

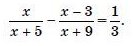
Пожалуйста, помогите решить.... Буду очень благодарна!!!

Приложения:

Ответы

Ответ дал: LIZIK2103
0
к общему знаменателю 3x^2+27x-3x^2+9x-15x+45-x-5=0 сократим, и подобные слогаемые 81x=45 x=45/81=5/9
Вас заинтересует