• Предмет: Алгебра
  • Автор: vasipetrover12
  • Вопрос задан 10 лет назад

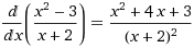
найти производную  ((4x+3)^6)' и (x^2-3)/(x+2)'


Ответы

Ответ дал: mas5389
0
я думаю, что должно быть вот так, наверное. ))

Приложения:
Вас заинтересует