• Предмет: Геометрия
  • Автор: 6Kolya9
  • Вопрос задан 10 лет назад

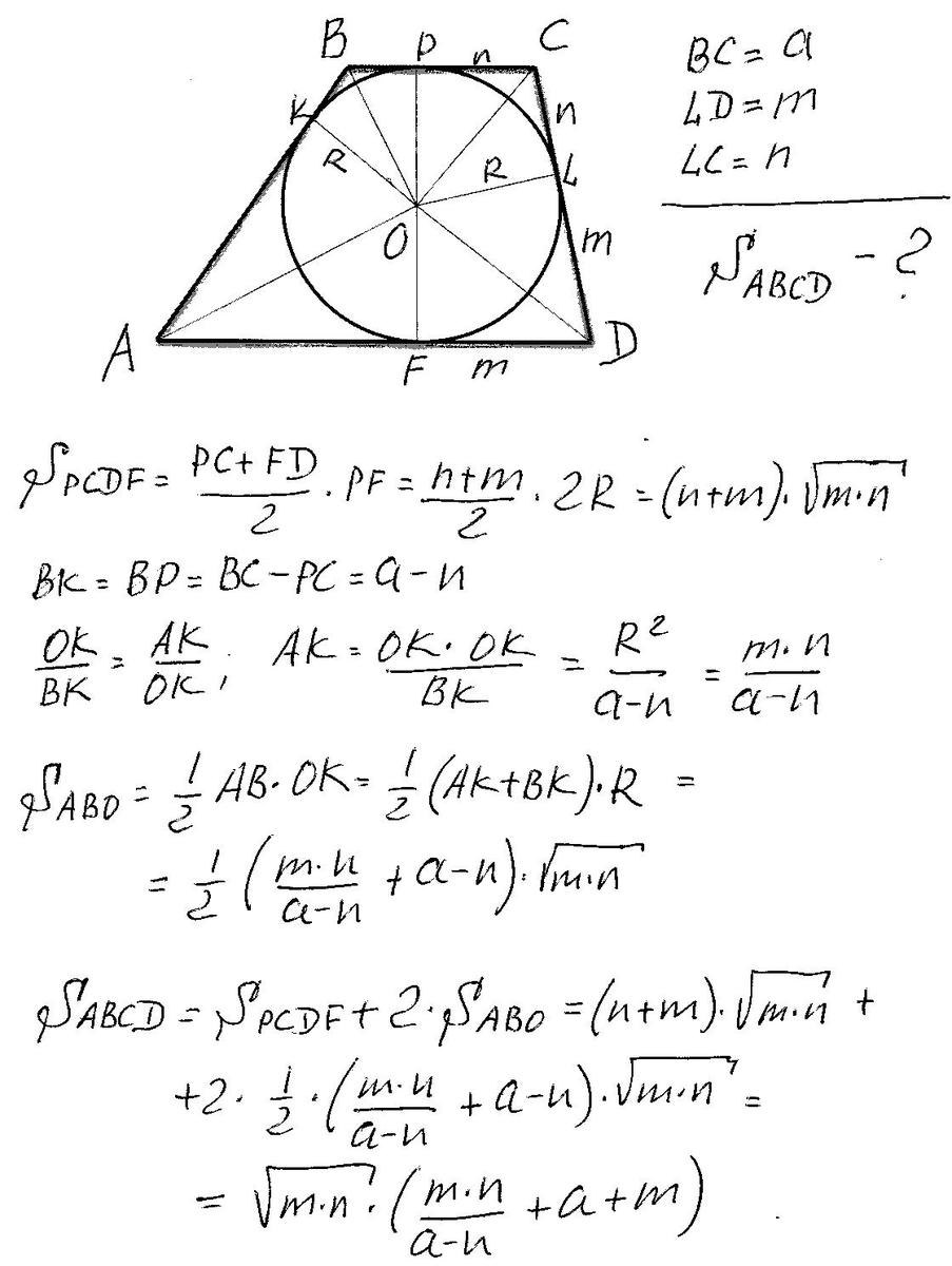
В трапецию, меньшее основание которой равно a, вписана окружность. Одна из боковых сторон трапеции делится точкой касания на отрезки длиной m и n, если считать от большего основания. Найдите площадь трапеции.

Ответы

Ответ дал: smska11
0
площадь трапеции a+b/2 * h через это у решай, осталось только вывести высоту и задача решена.
Ответ дал: Fatter
0
Обозначим  трапецию АВСD(смотри рисунок). Используем свойство трапеции R=mn. Далее находим площадь половины трапеции S pcdf. Чтобы были понятны дальнейшие действия отметим, что треугольники POC и LOC равны по катету (R) и гипотенузе OC. Отсюда LC=PC=n.  Аналогично , равны попарно и треугольники LOD и FOD, а также AOF и AOK, BOK и BOP. Отсюда также следует и то, что треугольники AOB и COD, всегда будут прямоугольными, углы AOB и COD равны в 90градусов. Поскольку сумма углов OCD и ODC равна 90градусов. Это следует из того, что сумма углов при CD=180 градусов, а OC и OD биссектрисы. Ну а дальше, находим площадь второй половины трапеции. Для этого находим АК из подобия прямоугольных треугольников. И суммируем




Приложения:
Вас заинтересует