Ответы
Ответ дал:
0
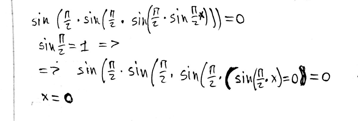
Вот решение, надеюсь поймешь))) не забудь кликнуть спасибо))) А еще sin(0)=0
Приложения:

Вас заинтересует
2 года назад
2 года назад
10 лет назад
10 лет назад