• Предмет: Математика
  • Автор: Аноним
  • Вопрос задан 10 лет назад

ВЕЛИКИЕ МАТЕМАТИКИ УМОЛЯЮ ПРОШУ РЕШИТЕ ПРИМЕР ПО ДЕЙСТВИЯМ РАЗПИСЫВАЯ КАЖДЫЙ ШАГ ДАЮ 50 БАЛЛОВ ТОЛЬКО ПОМОГИТЕ))

Приложения:

Ответы

Ответ дал: dasha00000000000
0
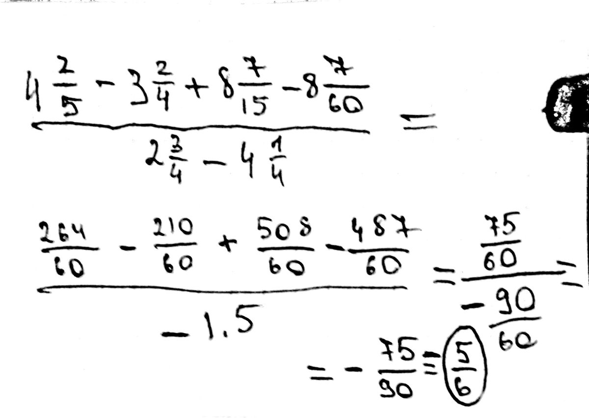
Решение прикреплено файлом!
Приложения:
Ответ дал: dasha00000000000
0
я просто пишу, затем фоткую и сюда прикрепляю. Мне так проще и быстрее
Ответ дал: Аноним
0
спасибо ) всё поняла)
Ответ дал: dasha00000000000
0
так понятнее?
Ответ дал: Аноним
0
да
Ответ дал: dasha00000000000
0
круто)
Ответ дал: Аноним
0
Вот, вроде так))) Не забудь сказать спасибо

Приложения:
Вас заинтересует