• Предмет: Алгебра
  • Автор: Аноним
  • Вопрос задан 10 лет назад

Упростите выражение
задание на фото

Приложения:

Ответы

Ответ дал: Ekaterina1819
0
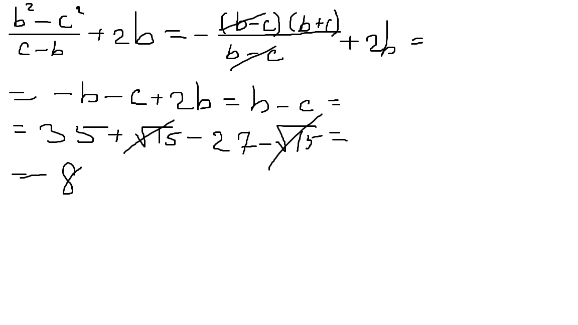
Получится вот так :)
Приложения:
Ответ дал: Аноним
0
 frac{b ^{2}-c ^{2}  }{c-b}+2b =- frac{(b-c)(b+c)}{b-c}+2b =-b-c+2b=b-c \ 
b=35+ sqrt{15};c=27+ sqrt{15} \ 
b-c=35+ sqrt{15}  -27- sqrt{15} =8   \
Приложения:
Вас заинтересует