• Предмет: Алгебра
  • Автор: aleksandrkazak
  • Вопрос задан 10 лет назад

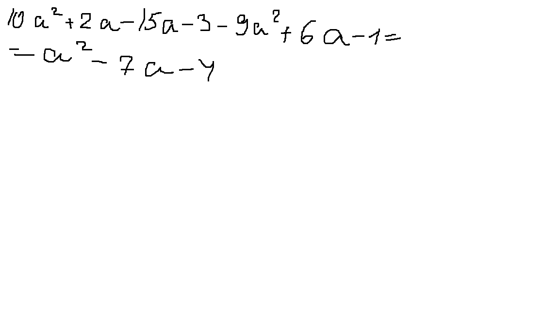
упростите выражение (2a-3)(5a+1)-(3a-1)^2

Ответы

Ответ дал: Ekaterina1819
0
Получится вот так :)
Приложения:
Вас заинтересует