Ответы
Ответ дал:
0
В ΔABD и ΔA1B1D1:
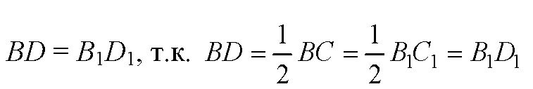
AB = A1B1, AD = A1D1, BD = B1D1, таким образом, ΔABD = ΔA1B1D1 по 3-му признаку равенства треугольников. Откуда ΔABD = ΔA1BD1.
В ΔАВС и ΔА1В1С1: АВ = А1В1
ВС = В1С1 (по условию задачи)
∠ABD = ∠A1B1D1, таким образом, ΔАВС = ΔА1В1С1 по 1-му признаку равенства треугольников.
Приложения:



Вас заинтересует
2 года назад
8 лет назад
10 лет назад
10 лет назад
10 лет назад