• Предмет: Физика
  • Автор: АлинаБрилёва
  • Вопрос задан 11 лет назад

ПОМОГИТЕ ПОЖАЛУЙСТА С ТЕРМОДИНАМИКОЙ:( УМОЛЯЮ ВАС 2 ЗАДАЧИ СЛОЖНЮЩИЕ:(

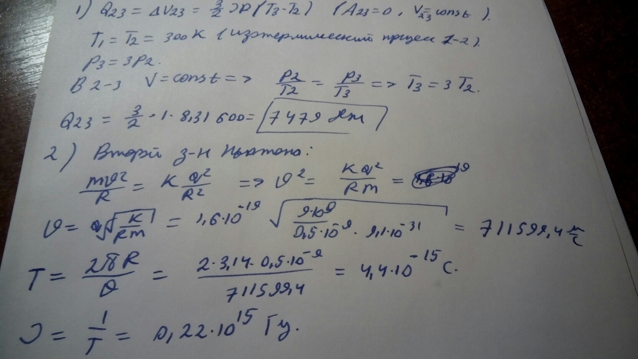
1, Идеальный одноатомный газ в количестве 1 моль сначала изотермически расширился (T1=300К). Затем газ нагрели, повысив давление в 3 раза. Какое количество теплоты получил газ на участке 2-3?

2, В простейшей модели атома водорода считается, что электрон движется вокруг неподвижного протона по окружности радиусом 0,5 нм. Каковы в этой модели скорость электрона и частота его обращения? РИСУНОК КО 2 ЗАДАЧЕ

Приложения:

Ответы

Ответ дал: Алкадиеныч
0

Решение на фотографии:)


Приложения:
Вас заинтересует