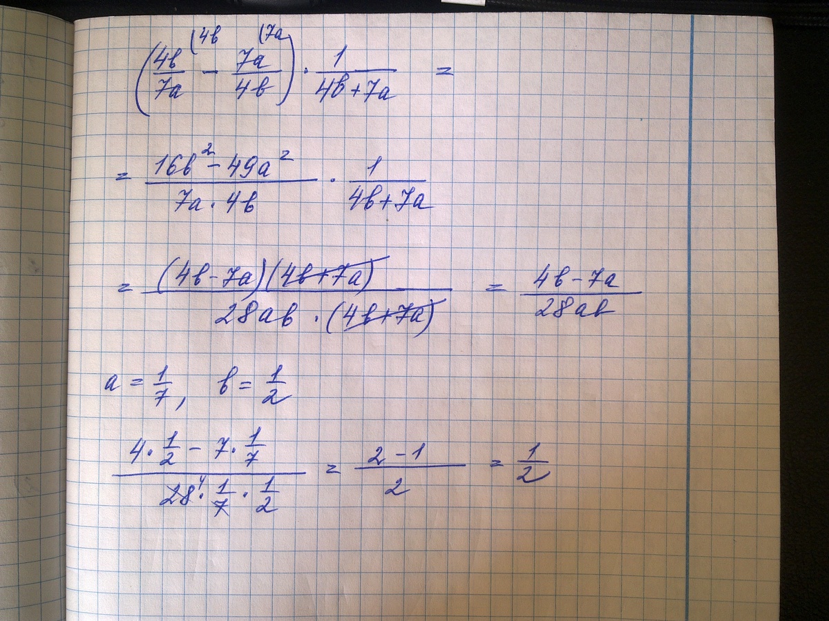
Упростите выражение (4b/7a−7a/4b)⋅1|4b+7a и найдите его значение при a=1/7, b=1/2. В ответе запишите найденное значение.
Ответы
Ответ дал:
0
...............................
Приложения:

Вас заинтересует
2 года назад
2 года назад
8 лет назад
8 лет назад
10 лет назад
10 лет назад
10 лет назад