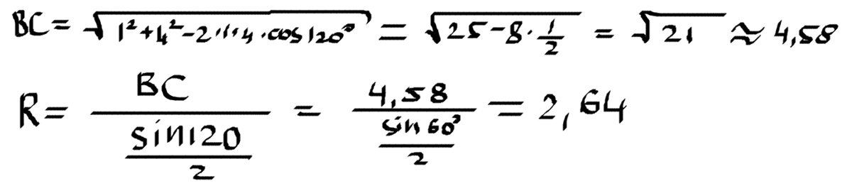
в треугольнике abc известно,что ab=1,ac=4 и угол bac=120. найдите радиус окружности,описанной около этого треугольника
Ответы
Ответ дал:
0
вотттттттттттттттттттттттттттттттттттттттт
Приложения:

Вас заинтересует
2 года назад
8 лет назад
10 лет назад
10 лет назад
10 лет назад