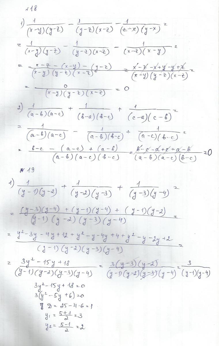
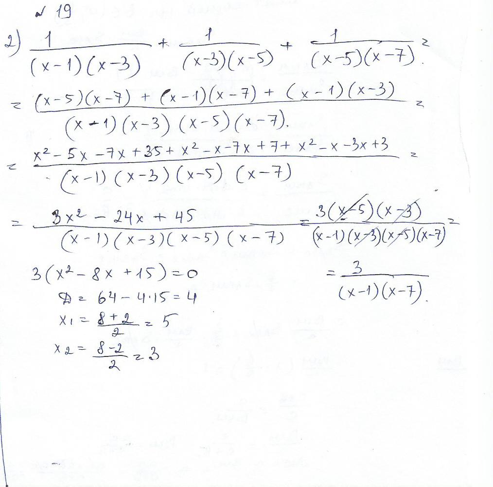
Пожалуйста решите эти два номера:#18 и #19 .Буду очень благодарна ...Тема Алгебраические отношения....
Приложения:

Ответы
Ответ дал:
0
смотри решение внизу
Приложения:


Ответ дал:
0
я не просто в 7 классе и квадратные уровнения не проходила...))
Вас заинтересует
2 года назад
2 года назад
8 лет назад
8 лет назад
10 лет назад
10 лет назад