• Предмет: Химия
  • Автор: Капелька16
  • Вопрос задан 10 лет назад

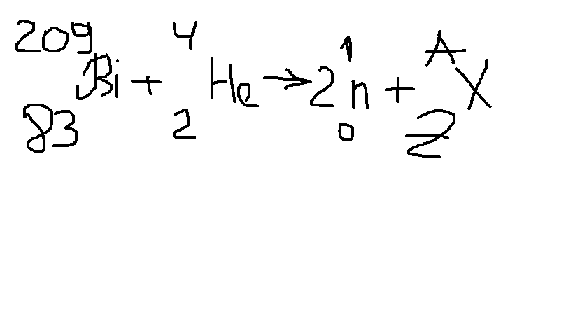
Помогите пожалуйста решить ядерную реакцию!!!буду очень очень благодарна вам!!!
Вот так...а дальше не могу((((

Приложения:

Ответы

Ответ дал: udodovi
0
211
      At
85
может быть так?
Ответ дал: udodovi
0
слева 209+4=213 + 2 (2 нейтрона)
Ответ дал: udodovi
0
слева 209+4=213
Ответ дал: udodovi
0
справа 2 + 211=213
Ответ дал: udodovi
0
справа 2 нейтрона, каждый имеет массу 1 и того 2 + 211=213
Ответ дал: udodovi
0
разобралась?
Вас заинтересует