• Предмет: Физика
  • Автор: Капелька16
  • Вопрос задан 10 лет назад

Помогите пожалуйста решить ядерную реакцию!!!буду очень очень благодарна вам!!!

Приложения:

Ответы

Ответ дал: LeraLom
0
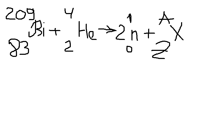
209      4            1      211
    Bi +    He = 2   n +      At
83       2            0        85
Вас заинтересует