Ответы
Ответ дал:
0
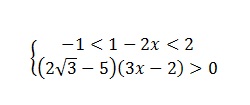
-1<1-2x<2
-2<-2x<1 делим на отрицательное число меняется знаки
-1/2<x<1
решили первое
(2√3-5)(3x-2)>0
2√3-5<0 значит 3x-2<0 x<2/3
решили второе
объединяем решения
x=(-1/2 2/3)
-2<-2x<1 делим на отрицательное число меняется знаки
-1/2<x<1
решили первое
(2√3-5)(3x-2)>0
2√3-5<0 значит 3x-2<0 x<2/3
решили второе
объединяем решения
x=(-1/2 2/3)
Вас заинтересует
3 года назад
3 года назад
8 лет назад
11 лет назад
11 лет назад
11 лет назад
11 лет назад