Ответы
Ответ дал:
0
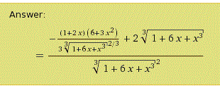
первая производная
вторая производная
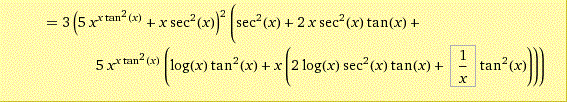
третья производная
четвертая производная
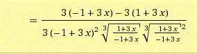
и пятая производная
вторая производная
третья производная
четвертая производная
и пятая производная
Приложения:





Вас заинтересует
2 года назад
8 лет назад
8 лет назад
10 лет назад
10 лет назад
10 лет назад