• Предмет: Алгебра
  • Автор: Зайка3000
  • Вопрос задан 10 лет назад

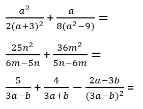
помогите пожалуйста) 

Приложения:

Ответа на этот вопрос пока нет. Попробуйте найти его через форму поиска.

Вас заинтересует