Ответы
Ответ дал:
0
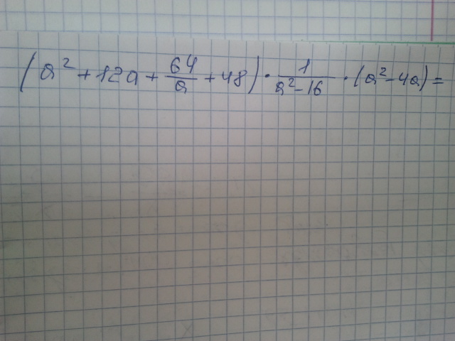
=(a^3+12a^2+64+48a)*(1/(a-4)(a+4))*(a(a-4))= ((a^3+64)+(12a^2+48a))*(a/(a+4))=
=((a+4)(a^2-4a+16)+12a(a+4)) *(a/(a+4))= (a+4)(a^2-4a+12a+16)*a/(a+4)=
=(a^2+8a+16)*a=a^3+8a^2+16a
=((a+4)(a^2-4a+16)+12a(a+4)) *(a/(a+4))= (a+4)(a^2-4a+12a+16)*a/(a+4)=
=(a^2+8a+16)*a=a^3+8a^2+16a
Вас заинтересует
3 года назад
3 года назад
8 лет назад
8 лет назад
10 лет назад
11 лет назад