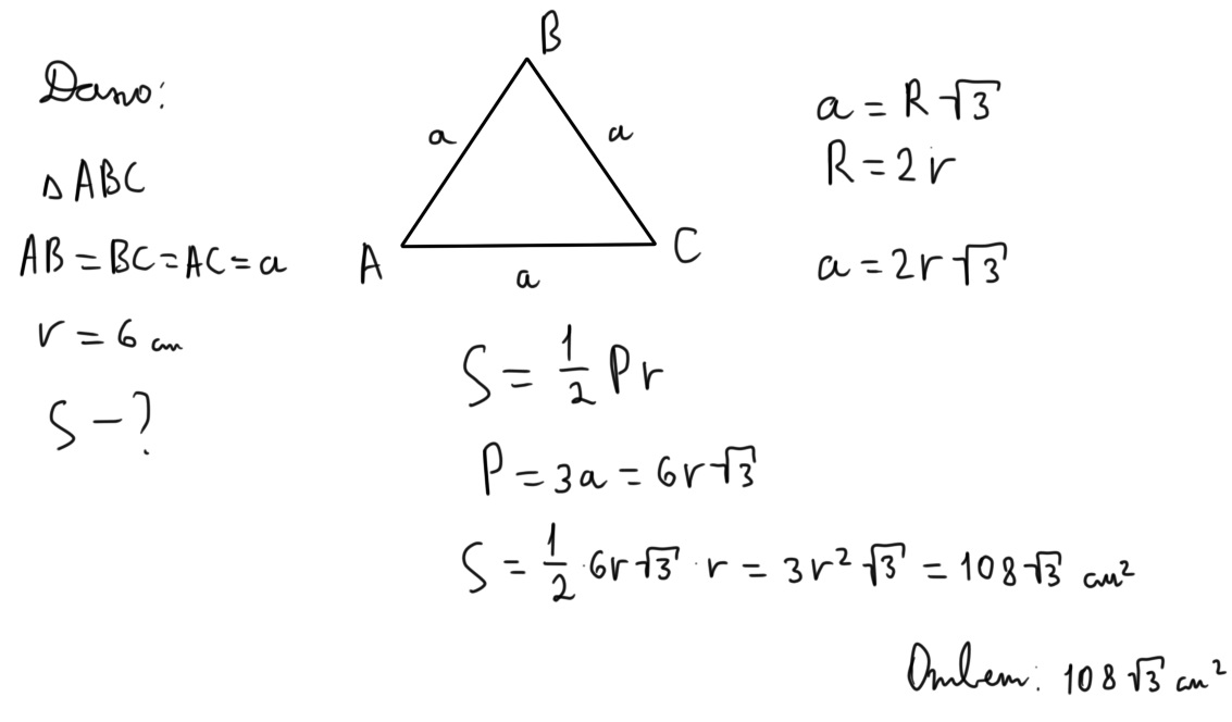
радиус окружности ,вписанной в правильный треугольник ,равен 6 см.вычислить площадь треугольника.
с дано
Ответы
Ответ дал:
0
Решение на картинке.
Приложения:

Вас заинтересует
8 лет назад
10 лет назад
10 лет назад