Ответы
Ответ дал:
0
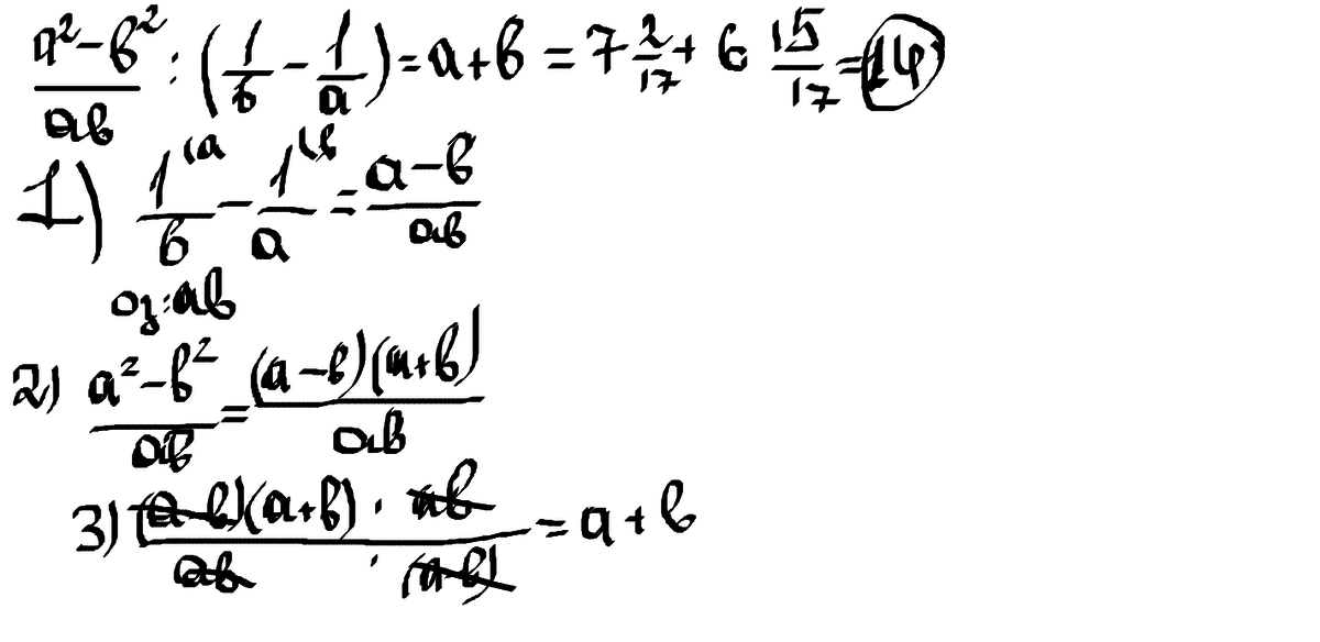
Решение во вложении.))))
Приложения:

Вас заинтересует
2 года назад
8 лет назад
8 лет назад
10 лет назад
10 лет назад
10 лет назад