• Предмет: Физика
  • Автор: Zubrilina
  • Вопрос задан 10 лет назад

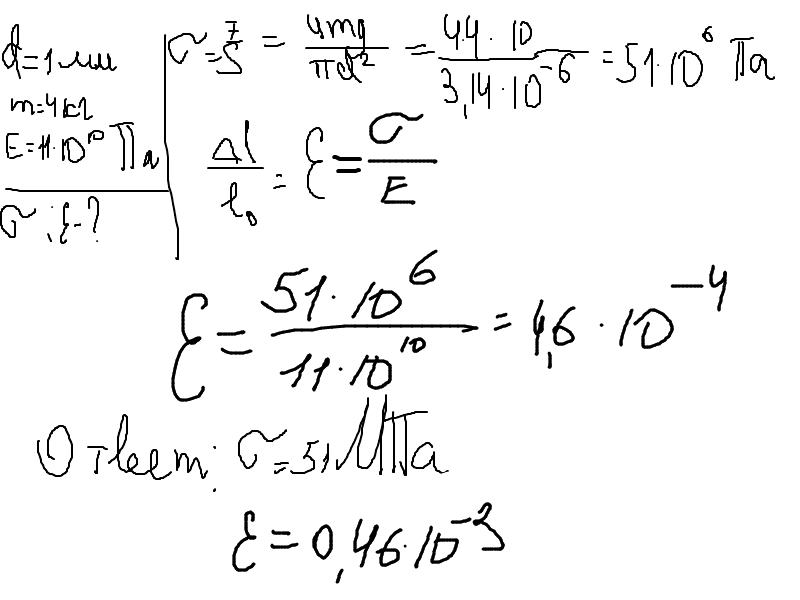
К медной проволоке диаметром 1 мм подвешен груз массой 4 кг. Найдите механическое давление в проволоке и ее относительное удлинение.

Ответы

Ответ дал: KatjaRed
0
E- это модуль Юнга(табличное значение)
Приложения:
Вас заинтересует