• Предмет: Алгебра
  • Автор: alpin1999
  • Вопрос задан 10 лет назад

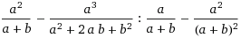
Упростите выражения плиииииииииииз

Приложения:

Ответы

Ответ дал: inblu
0
 frac{a^{2}}{a+b}- frac{a^{3}}{(a+b)^{2}}: frac{a}{a+b}- frac{a^{2}}{(a+b)^{2}}=frac{a^{2}}{a+b}- frac{a^{3}}{(a+b)^{2}}* frac{a+b}{a}-frac{a^{2}}{(a+b)^{2}}= \ =frac{a^{2}}{a+b}- frac{a^{2}}{a+b}-frac{a^{2}}{(a+b)^{2}}=-frac{a^{2}}{(a+b)^{2}}
Вас заинтересует