• Предмет: Математика
  • Автор: Artem011
  • Вопрос задан 10 лет назад

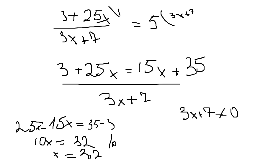
пожалуйста помогите, решите это уравнение

Приложения:

Ответы

Ответ дал: Аноним
0
во вложениях:
Ответ: 4)3,2
Приложения:
Вас заинтересует