Ответы
Ответ дал:
0
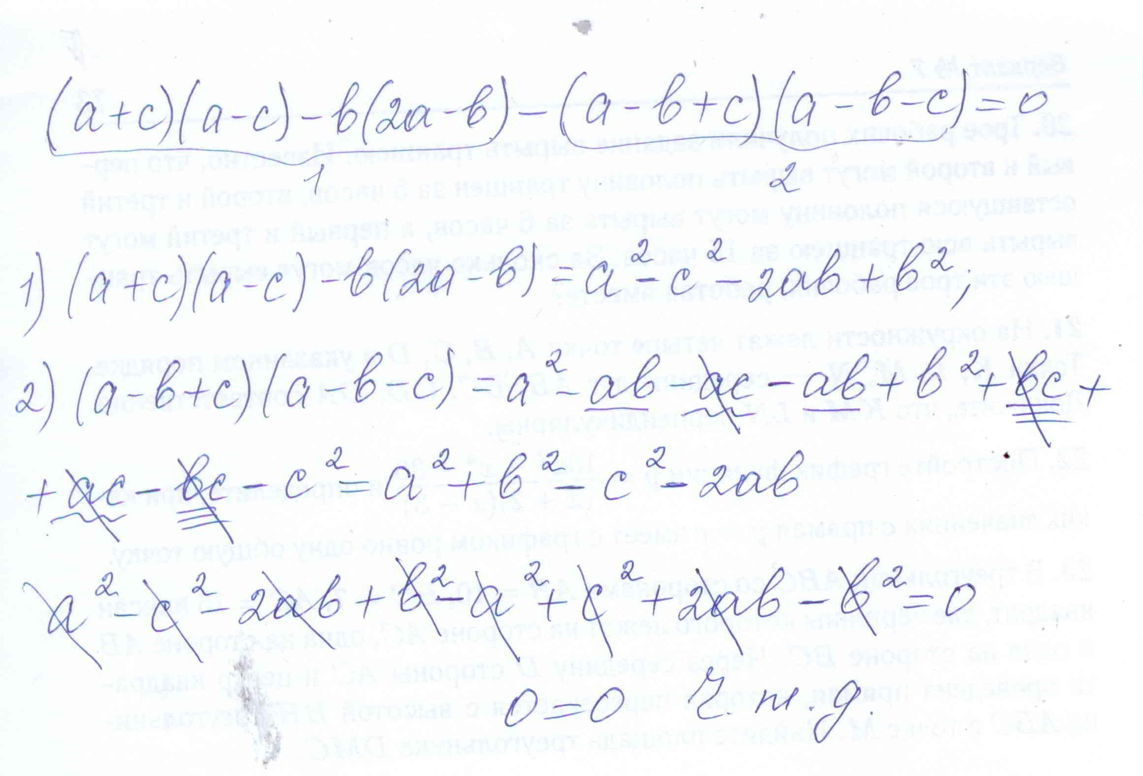
(а+с)(а-с)-в(2а-в)-(а-в+с)(а-в-с)=a^2-c^2-2ab+b^2-a^2+ba+ca+ba-b^2-bc-ca+bc+c^2=0
Ответ дал:
0
решение во вложенном файлеЕЕЕЕЕЕЕЕЕЕЕЕЕЕЕЕЕ!!!!!!!!!!!!!!!!!
Приложения:

Вас заинтересует
2 года назад
2 года назад
8 лет назад
8 лет назад
10 лет назад
10 лет назад
10 лет назад