Угол падения луча на поверхность плоскопараллельной пластинки равен 60°. Толщина пластинки 1,73 см, показатель преломления 1,73. На сколько смещается вышедший из пластинки луч?
Ответы
Ответ дал:
0
Задачник Чертова, Воробьева 1988
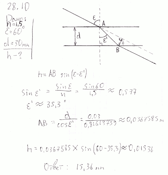
ε=60
d=1,73
n=1,73
h=?
1,73 ~√3
h=AB*sin(ε-ε1), AB- путь пройденный в стекле
sinε1=sinε/n=sin60/1,73=0,5
ε1=30
AB=d/cosε1=d/cos30=2
h=AB*sin(60-30)=2*sin30=1
Ответ: 1
ε=60
d=1,73
n=1,73
h=?
1,73 ~√3
h=AB*sin(ε-ε1), AB- путь пройденный в стекле
sinε1=sinε/n=sin60/1,73=0,5
ε1=30
AB=d/cosε1=d/cos30=2
h=AB*sin(60-30)=2*sin30=1
Ответ: 1
Приложения:
Вас заинтересует
3 года назад
3 года назад
8 лет назад
8 лет назад
11 лет назад
11 лет назад
11 лет назад